Biopharma PEG Scientific / フィルジェン ID: J01313

PEG試薬合成サービス ID: J01313

サービスについて

概要

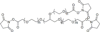
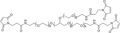
フィルジェンでは、独自の技術を有するBiopharma PEG Scientific社のPEG試薬の受託合成サービスを提供しています。PEG試薬の受託合成は、モノマー生物学的高分子、生分解性高分子、ポリアミノ酸などのPEG化を含みます。経験豊富なサポートメンバーにより、数グラムから数キログラムのマルチスケールにて短納期で高品質なPEG試薬を提供することが可能です。

仕様

単分散PEGAcrylamide、Azide、Maleimide、NPC、Silane、Rhodamine 他多数
機能性PEGThiol、Carboxylic acid、Hydroxyl、OPSS、Halide、DSPE 他多数
分子量350、550、750、1K、2K、3.4K、5K、10K、20K、30K、40K

製品例


必要情報

ポリマーの長鎖および分子量、両末端の官能基、容量(gからkgスケール)、化学純度

ご注文に関して

お問い合わせフォーム よりお問い合わせください。

参考価格・納期

サービス項目 価格(税抜) 納期
PEG試薬合成サービス お問い合わせ お問い合わせ

関連サイト